CUET English Question Paper 2024: Download Set D with Answers & Solutions PDF

Shivam Yadav

May 13, 2025

CUET English Question Paper 2024 (Set D) is available for download here. NTA conducted CUET 2024 English paper on 15 May in Shift 2A from 3 PM to 3:45 PM. CUET English Question Paper 2024 is based on objective-type questions (MCQs). Candidates get 45 minutes to solve 40 MCQs out of 50 in CUET 2024 question paper for English.

Download CUET 2025 Question Paper with Solution PDFs

CUET English Question Paper 2024 (Set D) PDF Download

CUET 2024 English Question Paper with Answer Key (Set D) download iconDownload Check Solution
CUET 2024 English(New) Question Paper with Answer Key (Set D) download iconDownload Check Solution

CUET 2024 English (Set D) Solution

Question 1:

Complete the sentences given in List-I with the appropriate adverbs given in List-II.

List-I (Sentences):

  • (A) I thought the restaurant would be expensive but it was ______ affordable.
  • (B) It was a serious accident. But the car was ______ damaged.
  • (C) The meeting was a disaster as it was very ______ organized.
  • (D) Mira is gifted; she has the ability to learn any language ______.

List-II (Adverbs):

  • (I) badly
  • (II) reasonably
  • (III) quickly
  • (IV) hardly
Correct Answer: 1. (A) - (II), (B) - (IV), (C) - (I), (D) - (III)
View Solution

Question 2:

Choose the appropriate word pair to complete the sentence:

I didn’t know Rahul was in the hospital. If I ______, I would ______ him.

  • 1. knew, go
  • 2. had known, have visited
  • 3. have known, be going
  • 4. know, had gone
Correct Answer: 2. had known, have visited
View Solution

Question 3:

Complete the sentences given in List-I with the appropriate phrasal verbs given in List-II.

List-I (Sentences):

  • (A) She was very ______ with him for his offensive remarks on women in politics.
  • (B) I have plenty of interesting books to ______ to book lovers.
  • (C) Strange that people easily ______ to temptation and ruin their reputation!
  • (D) Rahul is trying to ______ on his smoking.

List-II (Phrasal Verbs):

  • (I) give away
  • (II) cut down
  • (III) cut up
  • (IV) give in
Correct Answer: 1. (A) - (III), (B) - (I), (C) - (IV), (D) - (II)
View Solution

Question 4:

Identify the option closest in meaning to the underlined word:

The movie star’s biography is a glossy, sycophantic portrayal.

  • 1. cowardly
  • 2. domineering
  • 3. flattering
  • 4. insolent
Correct Answer: 3. flattering
View Solution

Question 5:

Choose the correct antonym of the underlined word:

The Minister unleashed a compliment against the newspaper for its biased editorial on illiteracy among women in his constituency.

  • 1. denunciation
  • 2. endorsement
  • 3. regulation
  • 4. speculation
Correct Answer: 1. denunciation
View Solution

Question 6:

Choose the correct synonym for "redoubtable" from the options given below.

  • 1. flimsy
  • 2. perplexing
  • 3. formidable
  • 4. voluble
Correct Answer: 3. formidable
View Solution

Question 7:

Choose the correct antonym for "sullen" from the options given below.

  • 1. morose
  • 2. reticent
  • 3. timid
  • 4. genial
Correct Answer: 4. genial
View Solution

Question 8:

Rearrange the following parts in the correct sequence to make a meaningful sentence.

(A) are inborn but our
(B) constituents of flavor, are learned
(C) our responses to basic tastes
(D) perceptions of smells, the main

(1) (B), (D), (A), (C)

(2) (A), (C), (B), (D)

(3) (C), (A), (D), (B)

(4) (C), (B), (D), (A)

Correct Answer: 3. (C), (A), (D), (B)
View Solution

Question 9:

Match the words in List-I with their definitions in List-II.

List-I (Words):

  • (A) Theocracy
  • (B) Megalomania
  • (C) Apothecary
  • (D) Antiquarian

List-II (Definitions):

  • (I) One who keeps drugs for sale and puts up prescriptions
  • (II) One who collects and studies objects or artistic works from the distant past
  • (III) A government by divine guidance or religious leaders
  • (IV) A morbid delusion of one’s power, importance, or godliness
  • 1. (A) - (III), (B) - (IV), (C) - (I), (D) - (II)
  • 2. (A) - (IV), (B) - (III), (C) - (II), (D) - (I)
  • 3. (A) - (I), (B) - (III), (C) - (IV), (D) - (II)
  • 4. (A) - (III), (B) - (IV), (C) - (II), (D) - (I)
Correct Answer: 1. (A) - (III), (B) - (IV), (C) - (I), (D) - (II)
View Solution

Question 10:

Fill in the blank with the correct option:

A small ______ between two children ended up as a group fight.

  • 1. altercation
  • 2. match
  • 3. contest
  • 4. race
Correct Answer: 1. altercation
View Solution

Question 11:

Rearrange the following phrases in the right sequence to form a meaningful sentence.

List of Phrases:

  • (A) for seven hours but was hardly
  • (B) because of the absence of any motivation
  • (C) able to decide who the murderer was
  • (D) she worked on the case
  • 1. (A), (C), (D), (B)
  • 2. (D), (A), (C), (B)
  • 3. (D), (C), (B), (A)
  • 4. (A), (B), (C), (D)
Correct Answer: 2. (D), (A), (C), (B)
View Solution

Question 12:

Fill in the blank with the correct option:

The candidate assured the interviewers that the dip in her grades during her second semester was an ______ since she had always been a top scorer in the first semester.

  • 1. anomaly
  • 2. allay
  • 3. adage
  • 4. abatement
Correct Answer: 1. anomaly
View Solution

Question 13:

Replace the underlined word with the most appropriate SYNONYM:

For some time now, we’ve been toying with the idea of transferring all our business from physical to online sales only.

  • 1. launch
  • 2. showing
  • 3. considering
  • 4. careful
Correct Answer: 3. considering
View Solution

Question 14:

Select the word opposite in meaning to the underlined word:

At first, the workers were agreeable to the proposals of their Manager, but later they were reconciled to the new proposals.

  • 1. resistant
  • 2. estranged
  • 3. cooperate
  • 4. agreed
Correct Answer: 1. resistant
View Solution

Question 15:

Complete the sentences given in List-I with the appropriate words given in List-II:

List-I (Sentences):

  • (A) She was able to give a ______ explanation in the court for her presence near the crime scene.
  • (B) The Rockland Hospital ______ with AIIMS to conduct a free cancer screening camp.
  • (C) Though she has shown only 4% improvement in achieving her target yet her efforts are ______.
  • (D) The doctors give the prognosis by ______ their diagnosis with several tests.

List-II (Words):

  • (I) collaborated
  • (II) corroborated
  • (III) credible
  • (IV) creditable
  • 1. (A) - (III), (B) - (I), (C) - (IV), (D) - (II)
  • 2. (A) - (I), (B) - (II), (C) - (III), (D) - (IV)
  • 3. (A) - (III), (B) - (II), (C) - (IV), (D) - (I)
  • 4. (A) - (II), (B) - (III), (C) - (I), (D) - (IV)
Correct Answer: 1. (A) - (III), (B) - (I), (C) - (IV), (D) - (II)
View Solution

Question 16:

Fill in the blank with the correct option:

Most of the guests arrived ______ bus.

  • 1. by
  • 2. with
  • 3. from
  • 4. through
Correct Answer: 1. by
View Solution

Question 17:

Choose the word closest in meaning to the underlined word:

Why did you make that flippant remark about her choice of clothes?

  • 1. sarcastic
  • 2. disrespectful
  • 3. casual
  • 4. indifferent
Correct Answer: 2. disrespectful
View Solution

Question 18:

Select the word opposite in meaning to the underlined word:

The thief showed his disbelief when informed that his partner had been arrested.

  • 1. displayed
  • 2. concealed
  • 3. battled
  • 4. marked
Correct Answer: 2. concealed
View Solution

Question 19:

Fill in the blank with the correct option:

The President finally had to ______ the demands of the public for his resignation.

  • 1. ignore
  • 2. initiate
  • 3. accede to
  • 4. condone
Correct Answer: 3. accede to
View Solution

Question 20:

Rearrange the following parts of a sentence in their correct sequence to form a meaningful sentence.

List of Phrases:

  • (A) for organizations which provide
  • (B) services to customers on a face-to-face basis,
  • (C) employees with whom they deal is very important
  • (D) the quality of the relationship between customers and
  • 1. (A), (B), (D), (C)
  • 2. (C), (A), (B), (D)
  • 3. (B), (D), (A), (C)
  • 4. (D), (A), (C), (B)
Correct Answer: 4. (D), (A), (C), (B)
View Solution

Question 21:

Rearrange the following parts of a sentence in their correct sequence to form a meaningful sentence.

List of Phrases:

  • (A) as a concept fundamental to
  • (B) especially with the injunction to treat equals equally
  • (C) justice is associated with the notion of equity and equality,
  • (D) ethical theory and political philosophy,
  • 1. (D), (B), (C), (A)
  • 2. (C), (A), (B), (D)
  • 3. (B), (A), (D), (C)
  • 4. (A), (D), (C), (B)
Correct Answer: 2. (C), (A), (B), (D)
View Solution

Question 22:

Match the idioms in List-I with their meanings in List-II:

List-I (Idioms):

  • (A) blow the gaff
  • (B) at the end of your tether
  • (C) be full of beans
  • (D) want to curl up and die

List-II (Meanings):

  • (I) feel unable to deal with something
  • (II) feel terribly ashamed and embarrassed
  • (III) divulge a secret
  • (IV) be full of energy
  • 1. (A) - (III), (B) - (I), (C) - (IV), (D) - (II)
  • 2. (A) - (II), (B) - (IV), (C) - (I), (D) - (III)
  • 3. (A) - (IV), (B) - (I), (C) - (II), (D) - (III)
  • 4. (A) - (III), (B) - (IV), (C) - (I), (D) - (II)
Correct Answer: 1. (A) - (III), (B) - (I), (C) - (IV), (D) - (II)
View Solution

Question 23:

Match the blanks in List-I with the prepositions in List-II:

List-I (Sentences):

(A) The edited version of her article is indistinguishable ______ her first version.

(B) I just don’t feel any affinity ______ his prose style. It’s too caustic.

(C) Her ideas are not all that dissimilar ______ mine.

(D) It would be wrong to mistake his diffidence ______ his arrogance or coldness.

List-II (Prepositions):

(I) with

(II) to

(III) for

(IV) from

Correct Answer: (1) (A) - (IV), (B) - (II), (C) - (I), (D) - (III)
View Solution

Question 24:

Re-arrange the parts in their correct sequence to form a meaningful sentence :​

(A) students with tools for critical thinking
(B) cooperative learning is an
(C) that enhances creativity and provides
(D) eclectic and unique teaching method

Choose the correct answer from the options given below :

  1. (a) (A), (C), (B), (D)
  2. (b) (B), (D), (C), (A)
  3. (c) (B), (A), (D), (C)
  4. (d) (C), (B), (D), (A)
Correct Answer: (2) (B), (D), (C), (A)
View Solution

Question 25:

Fill in the blank with the correct option to form a meaningful sentence:

The author grew up with the expectation that she would take up ________.

(a) editorship of a magazine

(b) translation of literary pieces

(c) creative writing

(d) the job of a critic

Correct Answer: (c) creative writing
View Solution

Question 26:

When her father said, “She will go far," he meant that ________.

(a) she will travel widely

(b) she will achieve great heights in life

(c) she will go too far, one of these days

(d) she will settle in a far-off place

Correct Answer: (b) she will achieve great heights in life
View Solution

Question 27:

Choose a statement which is not true with respect to the passage:

(a) The author felt pressurized to write in Hindi because of her father.

(b) She felt obligated to carry on the legacy of Premchand.

(c) Her family was chauvinistic about the English language.

(d) She was in awe of the extensive reach of her grandfather's writings.

Correct Answer: (c) Her family was chauvinistic about the English language
View Solution

Question 28:

Premchand became too large for her to understand mainly because of _____________ .

(A) his ability to connect with people from all walks of life.
(B) the fact that she feared him.
(C) the kind of love and reverence that he inspired in people.
(D) her constant anxiety of failing him.

Choose the correct answer from the options given below :
(1) (A) and (D) only.
(2) (A) and (C) only.
(3) (B) and (C) only.
(4) (C) and (D) only.

Correct Answer: (2) (A) and (C) only.
View Solution

Question 29:

“Inhaled his writing" refers to ________.

(a) imbibing his style subconsciously

(b) being compelled to write like him

(c) being influenced by what people said about him

(d) her father's expectation from her

Correct Answer: (a) imbibing his style subconsciously
View Solution

Question 30:

Choose the correct meaning of the word “Ubiquity" as it appears in the passage:

(a) Occasional

(b) Restricted

(c) Omnipresence

(d) Unwanted

Correct Answer: (c) Omnipresence
View Solution

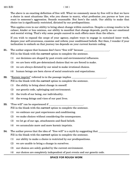
Question 31:

The author argues that humans don't have “free will” because ________.

(a) our decisions are shaped by past events and environmental influences.

(b) we are born with pre-determined choices that we are forced to make.

(c) we are always dictated by our mind to make irrational choices.

(d) human beings are born slaves of social constructs and expectations.

Correct Answer: (a) our decisions are shaped by past events and environmental influences
View Solution

Question 32:

“Karmic imprint" referred to in the passage implies ________.

(a) the ability to bring about change in oneself.

(b) our genetic code, upbringing, and environment.

(c) the truth of our being, our individuality.

(d) the wrongdoings and vices of our past lives.

Correct Answer: (b) our genetic code, upbringing, and environment
View Solution

Question 33:

“Free will” can be experienced if ________.

(a) we embrace our past experiences and conditioning.

(b) we make choices without considering the consequences.

(c) we let go of our ego, attachments, and fixed beliefs.

(d) we accumulate more and more karmic imprints.

Correct Answer: (c) we let go of our ego, attachments, and fixed beliefs
View Solution

Question 34:

The author proves that the idea of “free will" is a myth by suggesting that ________.

(a) our ability to make a choice is restricted by our predispositions.

(b) we are unable to bring a change in ourselves.

(c) our choices are solely guided by the current environment.

(d) our choices are completely independent of past events and our genetic code.

Correct Answer: (a) our ability to make a choice is restricted by our predispositions
View Solution

Question 35:

What does the author propose as a means to expand the scope of one's agency?

(a) Making choices frequently and impulsively.

(b) Engaging in sustained inner work and self-awareness.

(c) Holding on to fixed beliefs and stringent mindsets.

(d) Ignoring one's past experiences and dispositions.

Correct Answer: (b) Engaging in sustained inner work and self-awareness
View Solution

Question 36:

What do you think could be a suitable title for this passage?

(a) Definition of “Free Will”.

(b) Our backstory – key to a successful life.

(c) Do human beings really have “Free Will”?

(d) Making Choices - Every Man's Prerogative!

Correct Answer: (c) Do human beings really have “Free Will”?
View Solution

Question 37:

Cocoa was first introduced by the ________.

(a) American people.

(b) Olmec people.

(c) Aztec people.

(d) Spanish people.

Correct Answer: (b) Olmec people
View Solution

Question 38:

The Aztec people made their cocoa palatable by ________.

(a) serving it cold.

(b) adding sugar to the drink.

(c) spiking it with spices.

(d) drinking it as a medicine.

Correct Answer: (c) spiking it with spices
View Solution

Question 39:

Why did hot chocolate become “the beverage of the aristocracy" in Europe?

(a) The essential ingredient was out of reach of the commoners.

(b) The Queen had a marked chocolate maker.

(c) Only wealthy Europeans could buy it.

(d) It was being consumed by the pharma companies.

Correct Answer: (a) The essential ingredient was out of reach of the commoners
View Solution

Question 40:

The Chocolate Houses didn't survive past the 18th century as ________.

(a) people preferred tea/coffee to hot chocolate.

(b) it catered to the not-so-elite of society.

(c) chocolate was costlier than tea or coffee.

(d) the supply of cocoa dwindled over the years.

Correct Answer: (c) chocolate was costlier than tea or coffee
View Solution

Question 41:

Choose the correct statement from the following.

(a) Italians serve hot chocolate flavored with spices.

(b) Mexicans serve hot chocolate topped with a dollop of cream.

(c) Colombians serve hot chocolate topped with a dollop of cheese.

(d) Filipinos serve hot chocolate flavored with peppers.

Correct Answer: (c) Colombians serve hot chocolate topped with a dollop of cheese
View Solution

Question 42:

Choose the correct meaning of the underlined expression in the following sentence:

"Soon enough, though, hot chocolate caught on with the masses."

(a) was readily available in cafes.

(b) became popular among the commoners.

(c) hot chocolate did not appeal to people.

(d) masses got attracted to the rich experience of drinking hot chocolate.

Correct Answer: (b) became popular among the commoners
View Solution

Question 43:

Which of the following varieties of coffee is the most sold in the world?

(a) Coffea Canephora

(b) Coffea Arabica

(c) Coffea Eugenioides

(d) A blend of Coffea Canephora and Coffea Arabica

Correct Answer: (b) Coffea Arabica
View Solution

Question 44:

Which of the following species of coffee has more than two copies of each chromosome?

(a) Arabica

(b) Robusta

(c) Coffea Eugenioides

(d) A blend of Arabica and Robusta

Correct Answer: (a) Arabica
View Solution

Question 45:

Which of the following statements is true about Coffea Arabica?

(a) Hybridization is the main source of its genetic variation.

(b) It has only two copies of each chromosome.

(c) It displays the phenomenon of polyploidy.

(d) It is easily interbred with other species.

Correct Answer: (c) It displays the phenomenon of polyploidy
View Solution

Question 46:

Which of the following species of coffee developed only in the last 50,000 years?

(a) Coffea Canephora

(b) Coffea Eugenioides

(c) Arabica

(d) Robusta

Correct Answer: (c) Arabica
View Solution

Question 47:

Which of the following types of variability is not very high for Coffea Arabica?

(a) Variability at the structural level.

(b) Variability at the chromosomal level.

(c) Variability at the level of deletions and insertions.

(d) Variability at the DNA level.

Correct Answer: (d) Variability at the DNA level
View Solution

Question 48:

Choose the statement that is factually incorrect from the options given below.

(a) It is possible to roast the beans of a single species of coffee.

(b) Two species of coffee can be blended to make a brew.

(c) Due to its genetic make-up, novel mutations do not occur in the species Coffea Arabica.

(d) Variations in disease resistance can be seen in the Arabica coffee plant.

Correct Answer: (c) Due to its genetic make-up, novel mutations do not occur in the species Coffea Arabica
View Solution

Question 49:

Re-arrange the following phrases in the correct sequence to form a meaningful sentence. (A) created by human (B) collective cultural heritage (C) all languages (D) communities are our

  1. (A), (B), (D), (C)
  2. (B), (A), (D), (C)
  3. (C), (A), (D), (B)
  4. (D), (B), (C), (A)
Correct Answer: (3) (C), (A), (D), (B)
View Solution

Question 50:

Fill in the blank with the correct option to form a meaningful sentence. The Principal addressed us in the assembly and ________ the rumors of an early summer break.

  • (a) defended
  • (b) quashed
  • (c) cleared
  • (d) rebuked
Correct Answer: (b) quashed
View Solution


*The article might have information for the previous academic years, please refer the official website of the exam.

Comments

No comments to show